상세 컨텐츠

본문 제목

SSAFY 준비 (2) - 수리/추리논리

IT/SSAFY

by HarimKang 2020. 4. 19. 23:59

본문

Writer: Harim Kang

수리/추리 논리 영역

수리/추리 논리 영역은 총 15문제가 주어지며, 30분을 사용하여 문제를 풀어야합니다. 한 문제당 2분의 제한이지만, 난이도 별로 푸는 속도가 달라지기 때문에 유형을 살펴보고 시험을 준비하여야합니다. 아래와 같이 작은 분류로 다시 구분되어집니다.

  • 응용 수리 (5문제)
    • 응용 수리 영역의 문제들은 기본적인 수학 활용 문제들입니다. 초중학교 시절 배우던 거리, 속력, 시간 문제, 소금물 농도 문제, 일률 문제 등이 있습니다.
    • 해당 문제들을 빠르게 식을 세워서 풀어내야 시간이 급하지 않습니다.
  • 자료분석 (4문제)
    • 자료분석 영역에서는 그래프 또는 표가 주어지고 이를 해석하는 문제입니다.
  • 논리추리 (6문제)
    • 도형 추리(2문제): 도형 추리는 도형이 변하는 규칙을 찾는 문제입니다.
    • 논리추론(4문제): 논리추론은 상황과 조건이 주어질 때, 결론을 추론하는 문제입니다.

해당 내용들은 기업들의 인적성 기출 문제들을 풀어보면 도움이 될 것 같습니다.

목차

  • 응용 수리
    1. 거리-속력-시간
    2. 농도
    3. 일률
    4. GCD, LCM
    5. 금액
    6. 경우의 수
    7. 확률
    8. 날짜/요일
    9. 방정식
    10. 부등식
  • 자료분석
  • 도형추리
  • 논리추론

응용수리

거리-속력-시간

  • 거리-속력-시간은 가장 기본적인 문제입니다. 저와 같은 경우 아래와 같은 그림으로 외웁니다.

  • 거리-속력-시간 중 하나의 기준을 잡고 모든 단서들을 기준으로 통일 시켜주는 것이 좋습니다.

문제의 유형

  1. 속력 변경 문제

    • 전체 거리가 L이고, 초기 속력이 a일 때, 길이 x만큼 이동 후 속력 b로 y만큼 더 이동할 때의 전체 이동 시간을 구하는 문제가 기본적인 문제입니다.

    • 아래와 같은 그림을 그려서 문제의 이해를 쉽게 하는 것이 좋습니다.

  2. 평균 속력 문제(조화평균)

    • 전체 거리가 L인 도로를 왕복할 때, 속력이 갈때는 a, 돌아올 때는 b이면, 평균 속력을 구하는 문제가 기본적인 문제입니다.

    • 이러한 문제는 조화평균을 사용하여 이해하면 쉽습니다.

    • 조화평균은 역수의 평균을 계산하는 방법입니다.

  3. 보트 문제(상하류 속력 문제)

    • 강의 속력 a와 배의 속력 b가 주어졌을 때, 상황에 따라 속력이 달라지는 문제입니다.

    • 하류로 내려갈 때는 속력이 a+b이고, 상류로 올라갈 때는 b-a입니다.

  4. 따라잡기 문제

    • A와 B가 달리기를 할 때, 동시에 출발하면 t 시간 후에 A가 B를 따라잡습니다. B가 L만큼 앞에서 출발하고, A의 속력은 a, B의 속력은 b일 때 따라잡는 시간을 구하는 문제입니다.

  5. 만나기 문제

    • 걷는 속력이 a인 A와 속력이 b인 B가 L만큼 떨어져 있습니다. 서로 마주보며 걸어올 때, 만나는 시간을 구하는 문제입니다.

  6. 운동장 문제

    • 한 바퀴 거리가 L인 운동장에서 A 속력은 a, B 속력은 b이고 동시에 출발할 때의 문제입니다.
    • 같은 방향으로 달려서 A가 1바퀴를 더 달려서 따라잡는 경우를 구하는 문제 유형이 있습니다.
    • 반대 방향으로 달려서 A와 B가 만나는 경우의 문제 유형이 있습니다.
  7. 기차 문제

    • 기차의 길이가 a, 속력은 v, 터널은 b일 때, 두가지의 문제 유형이 있습니다.
    • 첫번째는 완전히 터널을 지나는 시간을 이용하는 문제가 있습니다.
    • 두번째는 마주오는 기차의 길이가 c이고 속력이 m일 때, 두 기차가 완전히 지나치는 시간을 구하는 문제가 있습니다.

농도

  • 농도에 관한 문제 또한, 초중등 과정에서 수학 활용으로 배운 문제 유형입니다.
  • 아래와 같은 농도에 관련된 공식을 외우는 방법이 좋습니다.
  • 위의 공식을 이용하여 방정식을 세워서 문제를 푸시면 됩니다.

일률

  • 단위시간 동안 처리할 수 있는 일의 양을 뜻합니다.
  • 전체 작업량을 1로 두고, 작업을 마치는 시간으로 나누면 해당 인물의 작업 일률이 됩니다.
  • 속력과 비슷한 개념으로, 작업량은 모든 일률의 합에 작업 시간의 곱으로 나타납니다.

GCD, LCM

  • GCD: 최대공약수, 둘 이상의 수들의 공약수 중에서 최대인 수를 의미합니다.
  • LCM: 최소공배수, 둘 이상의 수들의 공배수 중에서 최소인 수를 의미합니다.

금액

용어 정리

  • 원가: 이익을 붙이기 전의 가격을 의미합니다. 제품 생산에 사용되는 총 비용을 뜻하기도 합니다.
  • 정가: 원가에 이익을 붙인 가격을 의미합니다.
  • 판매가: 정가에서 할인율(또는 할인가)을 적용하여 실제로 판매하는 가격을 의미합니다. 정가*(1-할인율/100)
  • 생산량: 생산한 총 제품의 수입니다. 생산 총 비용 / 제품단가
  • 판매량: 실제로 제품을 판매한 수를 의미합니다. 이때 불량품율을 고려합니다. 생산량*(1-불량품율/100)
  • 실제이익: 판매가에서 원가를 뺀 금액을 의미합니다.
  • 매출액: 판매가와 판매량의 곱을 의미합니다.

경우의 수

  • 경우의 수는 어떤 사건이 일어날 수 있는 모든 가짓수를 의미합니다.
  • 각 사건이 일어나는 경우를 케이스 별로 분류하여 그 결과들을 더합니다.
  • 중복의 경우를 고려하여 계산합니다.
  • 두 가지 이상의 사건이 이어서 일어나는 경우에는 각 사건의 경우의 수를 곱하여 계산합니다.

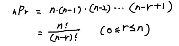
순열

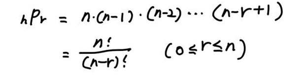
  • 서로 다른 n개의 원소에서 서로 다른 r개를 택하여 순서를 고려하여 배열하는 순열이라고 합니다. 아래와 같은 식으로 나타냅니다.

  • 유형
    • n명 중에서 반장과 부반장을 뽑는 경우의 수 : r=2인 경우의 순열

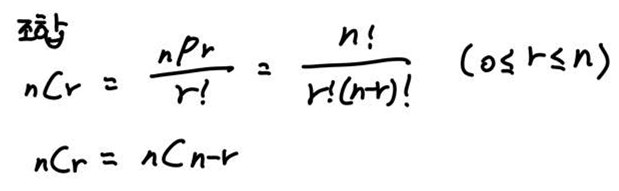
조합

  • 서로 다른 n개의 원소에서 순서를 고려하지 않고 r개를 택하는 것을 조합이라고 합니다. 아래와 같은 식으로 나타냅니다.

  • 유형
    • n명 중에서 대표 r명을 뽑는 경우의 수
    • n명이 서로 악수를 하는 경우의 수: r=2인 경우의 조합

팩토리얼

  • n!은 1부터 n까지의 수를 모두 곱한 값을 의미합니다.
  • 유형
    • 원형탁자에 n명을 앉히는 경우의 수

확률

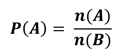
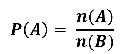
  • 어떤 시행에서 사건이 일어날 가능성을 수로 나타낸 것으로, 사건 A가 일어날 확률은 P(A)로 나타냅니다.

  • 수학적으로 확률은 특정 사건의 경우의 수를 전체 사건의 경우의 수로 나눈 것을 의미합니다.

확률의 성질

  1. 임의의 사건의 확률은 항상 0이상 1이하의 수입니다.

  2. 반드시 일어나는 사건의 확률은 1입니다.

  3. 절대로 일어나지 않는 사건은 0의 확률을 가집니다.

  4. 덧셈정리: 표본공간 S의 두 사건 A, B에 대하여 아래와 같은 공식이 있습니다.

  5. 여사건: 여사건의 확률은 아래와 같이 구합니다.

  6. 조건부 확률: 확률이 0이 아닌 사건 A, B에 대하여 A가 일어났을 때, B가 일어날 확률을 조건부 확률이라고 하고 아래와 같은 공식으로 구합니다.

  7. 곱셈정리: 두 사건 A, B에 대하여 동시에 일어날 확률은 아래의 곱셈정리를 통해 구할 수 있습니다.

날짜/요일

  • 기준 날짜의 요일이 주어질 때, 특정 일정 날짜의 요일을 구하는 문제입니다.

고려사항

  • 달별로 일수는 아래와 같습니다.
    1. 28일(또는 29일): 2월
    2. 30일: 4, 6, 9, 11월
    3. 31일: 1, 3, 5, 7, 8, 10, 12월
  • 윤년(2월이 29일까지 있는 해)을 고려해 주어야합니다. 윤년은 아래의 고려사항으로 구할 수 있습니다.
    1. 4로 나누어 떨어지는 해는 아래의 사항에 해당되지 않는다면 윤년입니다.
    2. 100으로 나누어 떨어지면 아래의 사항에 해당되지 않는다면 해당 년도는 윤년이 아닙니다.
    3. 그 중에서 400으로 나누어 떨어지면 해당 년도는 윤년입니다. (2000년은 윤년)
  • 오늘을 포함하는 지를 확인합니다.

계산법

  • 모듈러 연산을 사용합니다.
  • 요일은 총 7가지의 경우가 있다는 것을 이용하여, 7로 나눈 나머지를 사용합니다.
  • 특정 날짜의 요일이 a요일 일 때, n일 후의 요일을 찾고자합니다. n을 7로 나눈 나머지가 b일 때, n일 후의 요일은 a+b요일 입니다.
  • 특정 날짜의 요일이 a요일 일 때, n일 전의 요일을 찾고자합니다. -n을 7로 나눈 나머지가 -b일 때, n일 후의 요일은 a-b요일 입니다.
  • 연단위의 계산
    • 연도별 일수를 계산하여 위의 방식으로 요일을 계산합니다.
    • 윤년은 366일, 나머지는 365일입니다.

방정식

  • 미지수를 이용하여 등식을 만들어서 푸는 문제를 방정식이라고 합니다.

문제의 유형

  1. 전년도, 올해 증감 관련 문제
  2. 거속시, 농도, 금액 문제
  3. 연속하는 수 문제
  4. 나이 문제
  5. 자릿수 문제
  6. 이차 방정식
  7. 비율 문제
    • a : b = x : y
    • ay = bx
    • x = ak, y = bk
  8. 톱니바퀴 문제

부등식

  • 미지수를 이용하여 부등호를 이용한 관계식을 만들어서 푸는 문제입니다. 최대, 최소를 찾는 문제가 기본적입니다.
  • 방정식의 개념에 부등호를 사용한 문제들이 기본적입니다.

자료분석

  • 자료를 살펴 빈칸을 채우는 문제 또는 옳고 그른 것을 찾아내는 문제입니다.

체크 사항

  1. 단위를 잘 고려해야합니다.
  2. 범위 또는 특정연도를 살펴야합니다.
  3. 계산기를 사용하는 것이 좋습니다.

문제의 유형

  • 문제는 그래프 또는 표의 해석을 위주로 풀면 됩니다.

풀이 방식

  1. 기준 대비 증감율
    • (비교량/기준량) x 100 - 1
    • = ((비교 - 기준)/기준) x 100
    • 음수일 때는 감소, 양수일 때는 증가를 의미합니다.
  2. 전년 대비 증감추이
    • 전년에 비해 증가했는지 또는 감소했는지를 묻는 문제입니다.
    • 그래프의 경우 눈으로 확인이 가능합니다.
  3. 비율
    • 전체에 대한 특정 항목의 비율을 의미합니다.
  4. 비율 비교
    • 분모를 같게 하여 비교합니다.
    • %는 비교가 가능합니다.
  5. 대소 비교
    • 계산기를 사용하여 분모의 최소공배수를 곱하는 방식을 추천합니다.
  6. 환율

논리추리

도형추리

  • 도형이 변하는 규칙을 찾아서 빈 칸을 예측하는 문제입니다.
  • 해당 유형을 연습하여 반드시 풀어야합니다.
  • 인적성 기출 문제를 풀어보시면 좋을 것 같습니다.

체크 사항

  1. 방향을 살펴봅니다. 시계 또는 반시계 방향 또는 사선
  2. 객관식이므로 소거법을 이용하여 절대 아닌 경우를 제외시킵니다.
  3. 좌우대칭, 상하대칭, 대각선 대칭, 90도 회전, 색반전 등을 살펴봅니다.
  4. 개수의 변화를 살펴봅니다.
  5. 사선과 화살표를 살펴봅니다.

논리추론

  • 문제에 설정된 상황과 조건을 이용하여 다양한 결론을 추론하는 문제입니다.
  • 세가지 경우가 결론으로 나올 수 있습니다.
    1. 논리적으로 참인 경우
    2. 명확한 거짓
    3. 알 수 없는 경우
  • 소거법을 이용하여 문제를 풀어냅니다. 명확한 거짓을 지워내는 것이 중요합니다.
  • 난이도가 높은 편입니다.

문제의 유형

  1. 방 배치 문제

    • 2차원적인 표를 이용하여 푸는 방법이 정리하기에 좋습니다.
    • 가장 먼저 고정된 조건들을 배치합니다.
    • 빈 부분을 채우면서 풀어나갑니다.
    • 중복을 고려하여 풀어야합니다.
  2. 순서 문제

    • 방 배정과 비슷하지만 1차원적인 문제입니다.
    • 고정 조건을 배치하여 찾아갑니다.
  3. 원탁 배열 문제

    • 가장 많이 나오는 유형으로 중요합니다.
    • 원을 그려서 풉니다.
    • 고정된 것과 마주보는 것을 중요하게 먼저 고려합니다.
    • 좌우 옆과 둘 사이의 조건을 고려합니다.
  4. 일정 문제

    • 날짜 유형과 혼합되어 문제가 제시됩니다.
    • 난이도가 높은 경우, 달력을 그려야합니다.

사용된 이미지들은 모두 직접 작성하여 만든 그림들입니다. 손으로 작성 또는 파워포인트를 사용하여 작성하였으니, 이미지 사용시 출처 밝혀주시기 바랍니다.

SSAFY 알고리즘잡스 대비반의 교육을 통해, 수리/논리 추론에 관련된 다양한 문제 유형을 접할 수 있었습니다. 수리 영역은 익숙하지만 실수를 줄이기 위해 복잡한 문제를 풀어보는 것이 좋을 것 같고, 논리 영역 부분은 인적성 기출 문제들을 풀어보고 많은 연습이 필요할 것 같습니다.

반응형

관련글 더보기